Na2Co3 H2So4 Titration Calculation . Our titration calculator will help you never have to ask how do i calculate titrations? again. One of the most basic experiments taught to everyone in school, the titration between an acid and a base helps us to calculate the concentration of a solution, whose volume is known. \ce{naoh}\) is required to neutralize. A titration is used to find an unknown concentration of a solution by reacting it with a solution of known concentration. This new diluted solution of $\ce{h2so4}$ (i will refer to it as solution 2 now) was the solution used in the trials to determine. In a titration of sulfuric acid against sodium hydroxide, \(32.20 \: \ce{naoh}\) is required to neutralize. In a titration of sulfuric acid against sodium hydroxide, \(32.20 \: Titration of sulfuric acid and sodium hydroxide.
from www.studypool.com
In a titration of sulfuric acid against sodium hydroxide, \(32.20 \: \ce{naoh}\) is required to neutralize. Our titration calculator will help you never have to ask how do i calculate titrations? again. One of the most basic experiments taught to everyone in school, the titration between an acid and a base helps us to calculate the concentration of a solution, whose volume is known. Titration of sulfuric acid and sodium hydroxide. This new diluted solution of $\ce{h2so4}$ (i will refer to it as solution 2 now) was the solution used in the trials to determine. \ce{naoh}\) is required to neutralize. In a titration of sulfuric acid against sodium hydroxide, \(32.20 \: A titration is used to find an unknown concentration of a solution by reacting it with a solution of known concentration.
SOLUTION Acid base titration objective to determine the concentration
Na2Co3 H2So4 Titration Calculation This new diluted solution of $\ce{h2so4}$ (i will refer to it as solution 2 now) was the solution used in the trials to determine. \ce{naoh}\) is required to neutralize. \ce{naoh}\) is required to neutralize. In a titration of sulfuric acid against sodium hydroxide, \(32.20 \: In a titration of sulfuric acid against sodium hydroxide, \(32.20 \: This new diluted solution of $\ce{h2so4}$ (i will refer to it as solution 2 now) was the solution used in the trials to determine. Our titration calculator will help you never have to ask how do i calculate titrations? again. Titration of sulfuric acid and sodium hydroxide. A titration is used to find an unknown concentration of a solution by reacting it with a solution of known concentration. One of the most basic experiments taught to everyone in school, the titration between an acid and a base helps us to calculate the concentration of a solution, whose volume is known.
From fity.club
Na2co3 Na2Co3 H2So4 Titration Calculation A titration is used to find an unknown concentration of a solution by reacting it with a solution of known concentration. Titration of sulfuric acid and sodium hydroxide. \ce{naoh}\) is required to neutralize. Our titration calculator will help you never have to ask how do i calculate titrations? again. \ce{naoh}\) is required to neutralize. One of the most basic experiments. Na2Co3 H2So4 Titration Calculation.
From childhealthpolicy.vumc.org
🐈 Titration experiment results. How do you report a titration Na2Co3 H2So4 Titration Calculation \ce{naoh}\) is required to neutralize. In a titration of sulfuric acid against sodium hydroxide, \(32.20 \: Titration of sulfuric acid and sodium hydroxide. Our titration calculator will help you never have to ask how do i calculate titrations? again. This new diluted solution of $\ce{h2so4}$ (i will refer to it as solution 2 now) was the solution used in the. Na2Co3 H2So4 Titration Calculation.
From www.studypool.com
SOLUTION The aim is to find the accurate concentration of sulphuric Na2Co3 H2So4 Titration Calculation In a titration of sulfuric acid against sodium hydroxide, \(32.20 \: A titration is used to find an unknown concentration of a solution by reacting it with a solution of known concentration. \ce{naoh}\) is required to neutralize. Titration of sulfuric acid and sodium hydroxide. \ce{naoh}\) is required to neutralize. Our titration calculator will help you never have to ask how. Na2Co3 H2So4 Titration Calculation.
From chemistrymadesimple.net
What is Titration and How is it Done? Chemistry Made Simple Na2Co3 H2So4 Titration Calculation In a titration of sulfuric acid against sodium hydroxide, \(32.20 \: One of the most basic experiments taught to everyone in school, the titration between an acid and a base helps us to calculate the concentration of a solution, whose volume is known. A titration is used to find an unknown concentration of a solution by reacting it with a. Na2Co3 H2So4 Titration Calculation.
From byjus.com
How to write the products of Na2CO3 + H2SO4— gt; NH4Cl + Ca(OH)2— gt Na2Co3 H2So4 Titration Calculation In a titration of sulfuric acid against sodium hydroxide, \(32.20 \: \ce{naoh}\) is required to neutralize. A titration is used to find an unknown concentration of a solution by reacting it with a solution of known concentration. This new diluted solution of $\ce{h2so4}$ (i will refer to it as solution 2 now) was the solution used in the trials to. Na2Co3 H2So4 Titration Calculation.
From slidetodoc.com
Titration Colour Changes SLSS Science Limerick Education Centre Na2Co3 H2So4 Titration Calculation In a titration of sulfuric acid against sodium hydroxide, \(32.20 \: A titration is used to find an unknown concentration of a solution by reacting it with a solution of known concentration. Titration of sulfuric acid and sodium hydroxide. One of the most basic experiments taught to everyone in school, the titration between an acid and a base helps us. Na2Co3 H2So4 Titration Calculation.
From www.studypool.com
SOLUTION Acid base titration objective to determine the concentration Na2Co3 H2So4 Titration Calculation In a titration of sulfuric acid against sodium hydroxide, \(32.20 \: \ce{naoh}\) is required to neutralize. This new diluted solution of $\ce{h2so4}$ (i will refer to it as solution 2 now) was the solution used in the trials to determine. In a titration of sulfuric acid against sodium hydroxide, \(32.20 \: One of the most basic experiments taught to everyone. Na2Co3 H2So4 Titration Calculation.
From www.chegg.com
Solved After the titration of Na2CO3 (0.1M) with HCl using Na2Co3 H2So4 Titration Calculation A titration is used to find an unknown concentration of a solution by reacting it with a solution of known concentration. Our titration calculator will help you never have to ask how do i calculate titrations? again. In a titration of sulfuric acid against sodium hydroxide, \(32.20 \: Titration of sulfuric acid and sodium hydroxide. In a titration of sulfuric. Na2Co3 H2So4 Titration Calculation.
From www.markedbyteachers.com
The aim is to find the accurate concentration of sulphuric acid H2SO4 Na2Co3 H2So4 Titration Calculation One of the most basic experiments taught to everyone in school, the titration between an acid and a base helps us to calculate the concentration of a solution, whose volume is known. Titration of sulfuric acid and sodium hydroxide. In a titration of sulfuric acid against sodium hydroxide, \(32.20 \: A titration is used to find an unknown concentration of. Na2Co3 H2So4 Titration Calculation.
From www.numerade.com
SOLVED write equations (molecular, total ionic, net ionic) for the Na2Co3 H2So4 Titration Calculation A titration is used to find an unknown concentration of a solution by reacting it with a solution of known concentration. One of the most basic experiments taught to everyone in school, the titration between an acid and a base helps us to calculate the concentration of a solution, whose volume is known. This new diluted solution of $\ce{h2so4}$ (i. Na2Co3 H2So4 Titration Calculation.
From www.studypool.com
SOLUTION The aim is to find the accurate concentration of sulphuric Na2Co3 H2So4 Titration Calculation \ce{naoh}\) is required to neutralize. Titration of sulfuric acid and sodium hydroxide. Our titration calculator will help you never have to ask how do i calculate titrations? again. In a titration of sulfuric acid against sodium hydroxide, \(32.20 \: One of the most basic experiments taught to everyone in school, the titration between an acid and a base helps us. Na2Co3 H2So4 Titration Calculation.
From www.youtube.com
Titration of (NaOH+Na2CO3) vs HCl with Calculation of Strength, gm/lt Na2Co3 H2So4 Titration Calculation Our titration calculator will help you never have to ask how do i calculate titrations? again. One of the most basic experiments taught to everyone in school, the titration between an acid and a base helps us to calculate the concentration of a solution, whose volume is known. Titration of sulfuric acid and sodium hydroxide. A titration is used to. Na2Co3 H2So4 Titration Calculation.
From www.numerade.com
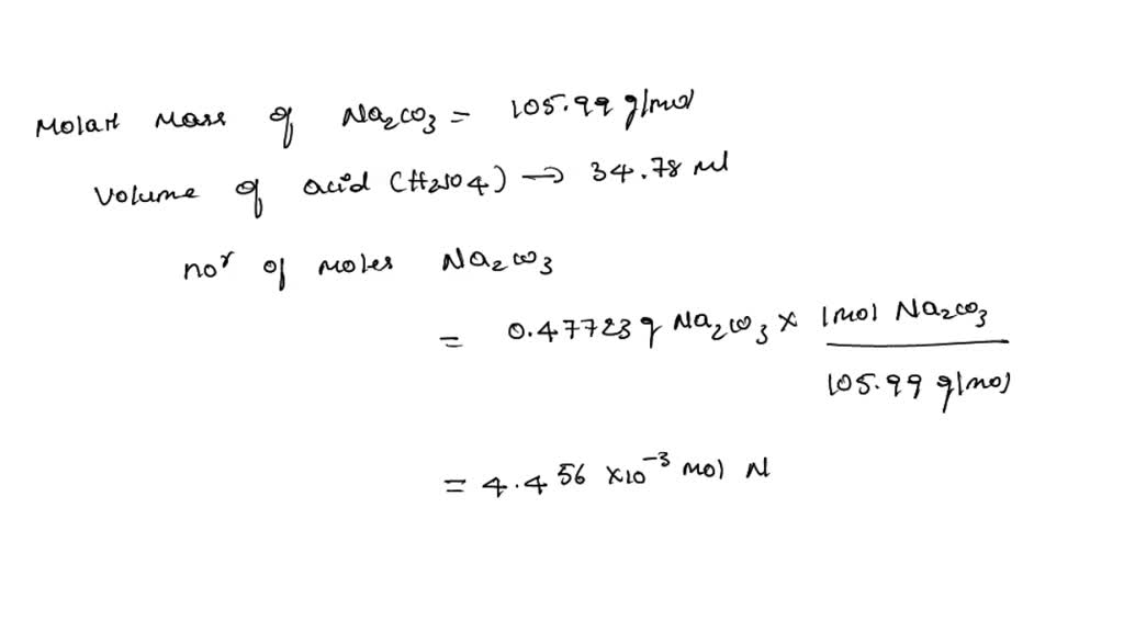
SOLVED 0.4723g sample of primarystandardgrade Na2CO3 required 34.78 Na2Co3 H2So4 Titration Calculation In a titration of sulfuric acid against sodium hydroxide, \(32.20 \: Titration of sulfuric acid and sodium hydroxide. \ce{naoh}\) is required to neutralize. In a titration of sulfuric acid against sodium hydroxide, \(32.20 \: Our titration calculator will help you never have to ask how do i calculate titrations? again. A titration is used to find an unknown concentration of. Na2Co3 H2So4 Titration Calculation.
From byjus.com
How to write the products of Na2CO3 + H2SO4— gt; NH4Cl + Ca(OH)2— gt Na2Co3 H2So4 Titration Calculation One of the most basic experiments taught to everyone in school, the titration between an acid and a base helps us to calculate the concentration of a solution, whose volume is known. In a titration of sulfuric acid against sodium hydroxide, \(32.20 \: Titration of sulfuric acid and sodium hydroxide. In a titration of sulfuric acid against sodium hydroxide, \(32.20. Na2Co3 H2So4 Titration Calculation.
From www.vrogue.co
What Is Titration And How Does It Work vrogue.co Na2Co3 H2So4 Titration Calculation One of the most basic experiments taught to everyone in school, the titration between an acid and a base helps us to calculate the concentration of a solution, whose volume is known. Our titration calculator will help you never have to ask how do i calculate titrations? again. A titration is used to find an unknown concentration of a solution. Na2Co3 H2So4 Titration Calculation.
From www.numerade.com
SOLVEDCalculate the volume necessary (in milliliters) to provide the Na2Co3 H2So4 Titration Calculation In a titration of sulfuric acid against sodium hydroxide, \(32.20 \: In a titration of sulfuric acid against sodium hydroxide, \(32.20 \: \ce{naoh}\) is required to neutralize. Titration of sulfuric acid and sodium hydroxide. Our titration calculator will help you never have to ask how do i calculate titrations? again. One of the most basic experiments taught to everyone in. Na2Co3 H2So4 Titration Calculation.
From www.studypool.com
SOLUTION Acid base titration objective to determine the concentration Na2Co3 H2So4 Titration Calculation This new diluted solution of $\ce{h2so4}$ (i will refer to it as solution 2 now) was the solution used in the trials to determine. \ce{naoh}\) is required to neutralize. One of the most basic experiments taught to everyone in school, the titration between an acid and a base helps us to calculate the concentration of a solution, whose volume is. Na2Co3 H2So4 Titration Calculation.
From mungfali.com
Acid Base Titration Calculation Na2Co3 H2So4 Titration Calculation This new diluted solution of $\ce{h2so4}$ (i will refer to it as solution 2 now) was the solution used in the trials to determine. One of the most basic experiments taught to everyone in school, the titration between an acid and a base helps us to calculate the concentration of a solution, whose volume is known. \ce{naoh}\) is required to. Na2Co3 H2So4 Titration Calculation.